
第一作者:周晶晶
通讯作者:胡敬平
论文引用:Waste Management, 2026, 209, 115196
论文DOI:10.1016/j.wasman.2025.115196
论文全文链接:https://doi.org/10.1016/j.wasman.2025.115196
FunMat课题组主页:http://funmat.ese.hust.edu.cn/
成果简介
近日,beats365beats365Funmat课题组胡敬平教授团队在《Waste Management》上在线发表了题为“Green and selective recovery of lithium by phosphate based leaching system from spent lithium iron phosphate batteries”(采用磷酸盐浸出体系对废弃磷酸铁锂电池进行绿色和选择性锂回收)的研究论文。针对传统回收技术的上述关键局限,本研究提出一种创新的水冶浸出系统,采用磷酸二氢铵与过氧化氢协同作用,实现废旧磷酸铁锂电池中锂的高效回收。磷酸盐体系独特的缓冲能力可形成稳定的弱酸性环境,在有效维持H+浓度的同时促进锂溶出,并防止铁元素浸出。相较于条件酸浸法,该协同作用显著降低能耗、化学试剂用量及工艺复杂度,并实现无需复杂提纯步骤的直接正极材料再生。通过全面的热力学分析、动力学建模及机理研究,阐明了选择性锂萃取的基本原理。这项缓冲弱酸性选择性浸出技术为废旧磷酸铁锂电池的绿色回收开辟了可持续新路径。
摘要
磷酸铁锂(LiFePO4,LFP)电池市场份额的扩大,废旧锂离子电池的数量正显著增长。当前LFP回收技术存在明显局限性,尤其体现在复杂的浸出工艺和严重的二次环境污染方面。本研究通过开发高效经济的磷酸盐基浸出系统,利用具有缓冲性能的磷酸二氢铵与过氧化氢,实现了对废旧LFP电池中锂的选择性回收,从而应对了这些挑战。在温和条件下(65℃,20分钟),该系统实现了卓越的锂选择性(100%)和高锂总利用率(95.78%),同时保持浸出残渣中的磷酸铁结构。动力学建模与热力学分析表明,浸出过程遵循化学反应控制模型,活化能为19.93 kJ/mol。磷酸盐体系的缓冲作用维持了弱酸性环境,促进锂离子选择性萃取;过氧化氢则提供氧化势使铁固定为不溶性FePO4,有效抑制其溶解。回收的碳酸锂与磷酸铁残渣通过固态合成技术直接用于正极材料再生。
研究亮点
在弱酸性与低温条件下实现选择性LFP浸出。
浸出残渣得以保留,保障高效材料再生过程
阐明磷酸盐缓冲剂辅助浸出系统的作用机制。
再生阴极材料展现出高库仑效率与容量。
引言
湿法冶金是回收LFP电池的主要方法,其中酸浸工艺已得到广泛研究。然而,这些酸性浸出剂不可避免地导致环境污染、大量酸消耗及复杂的下游处理流程,后者通常依赖多级溶剂萃取或沉淀工艺。为解决传统回收技术的上述关键局限,本研究提出一种创新的水冶浸出系统,采用磷酸二氢铵与过氧化氢协同作用,实现废旧磷酸铁锂电池中锂的高效回收。重点研究热力学、动力学及协同增效机理研究,刻画环境治理中的可持续绿色应用潜力。
图文导读
一、材料设计及结构表征
将预处理的阴极粉末(0.2 g)加入装有预定量磷酸二氢铵(NH4)H2PO4、过氧化氢(H2O2)和去离子水的50 mL烧瓶中。在控温条件下,于油浴中进行磁搅拌浸出。125℃和155℃条件下,实验在50mL密封聚四氟乙烯内衬水热反应器中进行,以维持所需温度和压力。系统研究了以下参数的影响:温度(35-155℃)、反应时间(2-30分钟)、(NH4)H2PO4/LiFePO4摩尔比(0.6-1.4)、H2O2体积比(0-4体积百分比)以及固液比(2.5-40克/升)。详细的实验步骤见图1。

图1. 采用(NH₄)H₂PO₄-H₂O₂体系回收废旧磷酸铁锂电池正极材料的示意图。
二、物相分离参数优化
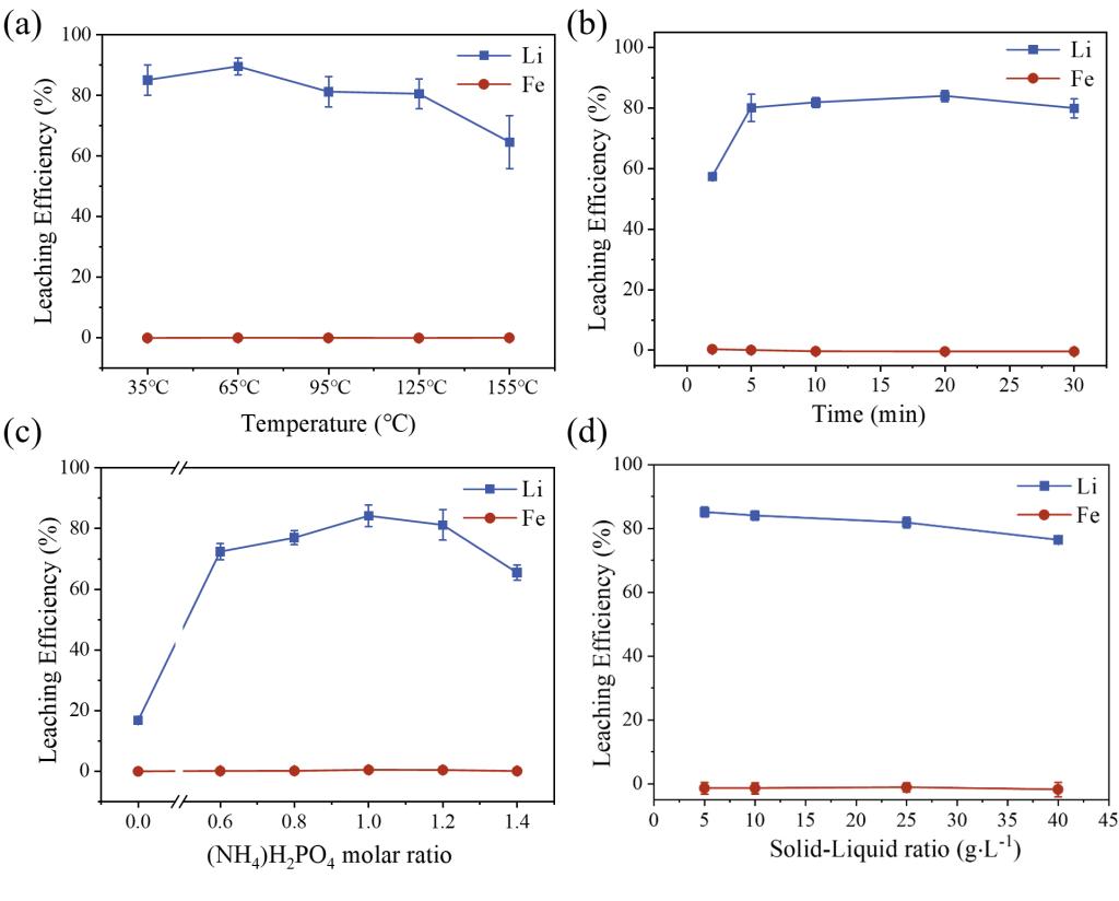
为明确各参数优化过程,进行了多维单因素调控探究。温度对浸出效率影响显著,如图2(a)所示,最佳浸出温度确定为65℃。实验揭示了快速的锂浸出动力学,Li+离子在2-10分钟内迅速从结构中被提取。在20分钟时达到最佳浸出效率83.05%(图2(b))。另通过优化(NH4)H2PO4摩尔比(保持H2O2体积浓度为2%)发现,当摩尔比为1.0时,浸出效率达85.13%的峰值(图2(c))。图2(d)的锂浸出曲线表明,固液比为5 g/L时可获得最佳浸出性能。

图2. (a)反应温度、(b)反应时间、(c) (NH₄)H₂PO₄:LFP摩尔比及(d)固液比对浸出效率的影响。若未特别说明,典型实验条件为:95℃,反应时间30分钟,(NH₄)H₂PO₄:LFP摩尔比1.2:1,2体积百分比H₂O₂,固液比10 g/L。
为明确(NH4)H2PO4-H2O2体系中元素的稳定性与形态分布,构建了Li-Fe-P-H2O体系的Eh-pH图(图3(a-b))。结果表明,随着温度升高,Li⁺的稳定区域逐渐缩小。在35℃条件下,酸性环境(pH<5.5)利于Li⁺以离子态存在,而当pH>8时Li⁺则倾向于以Li₃PO₄形式沉淀。Fe的形态主要受氧化还原电位控制:氧化电位升高会促进Fe2+氧化为Fe3+,继而以FePO4·2H2O形式沉淀,从而促进Li与Fe的分离。

图3. 磷酸铁锂浸出体系的热力学分析:(a) Li-P-H₂O体系的Eh-pH图,(b) Li-Fe-P-H₂O体系的Eh-pH图。
为阐明(NH4)H2PO4-H2O2体系中的浸出机制,采用收缩未反应核心模型进行了动力学分析。研究了三种控制机制:液膜扩散、表面化学反应和离子扩散。图4(a-b)表明,在35-95℃温度范围内,表面化学反应模型与离子扩散模型均呈现高相关系数(R2>0.95)。表面化学反应模型的R2值始终保持较高水平,而离子扩散模型的R2;值则表现出较大波动性。相比之下,基于离子扩散模型推导出的表观活化能(27.11 kJ/mol)远高于文献中典型的数值范围(4-12 kJ/mol)。尽管两种模型均呈现高相关系数,但控制机制的选择必须兼顾统计拟合度与物理合理性。浸出速率对反应物浓度和温度的强烈依赖性表明该过程受化学因素影响显著。

图4. 基于(a)表面化学反应控制模型与(b)离子扩散控制模型的温度依赖性拟合曲线。实验条件:(NH₄)H₂PO₄/LiFePO₄摩尔比为1.2:1,过氧化氢体积浓度2%,固液比10 g/L。
XRD分析显示,0~10分钟浸出时段的残留物呈现LiFePO4晶体结构的渐进性降解(图5(a))。浸出残留物在(020)、(131)和(211)位置呈现磷酸铁特征衍射峰,而LiFePO4特征峰强度随浸出时间延长逐渐减弱,且未出现显著杂质峰。扫描电子显微镜观察(图5(b)和图S5)显示,残留物形态基本保持完整,未发生结构坍塌。

图5. NH₄H₂PO₄-H₂O₂浸出残渣表征:(a) 0至20分钟不同浸出时间下LFP残渣的XRD图谱;(b) LFP浸出残渣的SEM微观图像。
在H3PO4体系中(图6(a-b)),强氧化性和酸性条件促进了LiFePO4中元素的广泛浸出。铁元素被氧化后以Fe3+阳离子形式进入浸出溶液,实现了金属元素的完全萃取。基于上述发现,可阐明该体系的选择性浸出机制:磷酸二氢铵作为酸性盐在水溶液中电离产生H2PO4,形成利于锂离子提取的弱酸性环境。

图6. 浸出体系对比:(a) 磷酸体系中LiFePO4的浸出效率;(b) (NH₄)H₂PO₄-H₂O₂与H₃PO₄-H₂O₂体系浸出过程中pH值变化。实验条件:65℃,反应时间20分钟,浸出剂摩尔比1:1,2体积百分比过氧化氢,固液比5 g/L。
三、再生磷酸铁锂性能探究与结构特征
再生材料(RLFP)展现出优异的电化学性能(图7(a)),在0.2C倍率下实现158.72 mAh·g⁻1的放电容量,平均库仑效率达99.13%。这表明形成了具有锂离子通道的均匀稳定橄榄石LiFePO4结构,其锂离子扩散阻力与商用材料(COM-LFP)相当。此外,如图7(b)所示,该材料保持了出色的循环稳定性,在0.5C倍率下经400次循环后容量保持率达91.33%。
循环伏安法和电化学阻抗谱分析表明,RLFP与COM-LFP具有相似的电化学动力学特性(图7(c)-(d))。如循环伏安曲线所示,约3.3伏和3.6伏处的还原峰与氧化峰分别归因于Fe3+还原为Fe2+及Fe2+氧化为Fe3+过程,表明锂离子插入与脱出机制。尽管RLFP的电荷转移电阻略高(126.34 Ω vs 78.60Ω),但其极化电压差更小(0.29 V vs 0.37 V),表明充放电过程中的极化现象有所减弱。电化学阻抗谱测试表明,商用材料的电荷转移电阻(78.60 Ω)低于再生电极材料(RLFP)(126.34 Ω),表明RLFP的导电性较差。这种差异可能归因于再生材料结构中残留的微量铝和碳杂质。

图7. 再生阴极材料与商用材料的电化学特性对比:(a)0.2C倍率下的初始充放电曲线;(b)0.5C倍率下400次循环的稳定性;(c)循环伏安曲线;(d)奈奎斯特图及等效电路模型拟合的EIS数据。
根据GITT测试结果(如图8(a-b)所示),再生阴极材料在放电容量和电压差方面表现与商用材料相当,且放电末段出现更少的放电平台期,表明在深度放电状态下具有更均匀的锂离子扩散特性。通过电压-时间曲线(图8(c-d))计算得出锂离子扩散系数。分析表明再生材料与商用LiFePO4材料的扩散系数相当,证实再生材料成功恢复了内在电化学性能。RLFP的锂离子扩散系数达6.89×10⁻9 cm2/s,证实形成了高效的离子传输通道。

图8. 再生(a,c)与商用(b,d)磷酸铁锂的GITT分析(0.2C):(a‒b)电压‒容量曲线与(c‒d)电压‒时间曲线。
在本研究中,我们开发了一种基于(NH4)H2PO4-H2O2的新型选择性浸出系统,在优化条件下(65℃、20分钟,(NH4)H2PO4与LFP的摩尔比为1:1,体积百分比2%的H2O2,固液比5 g/L)实现了95.78%的锂利用率,并在后续再生过程中达到100%的选择性。热力学与动力学研究表明,弱酸性氧化环境可促进锂的选择性萃取。结合阳离子-阴离子浸出实验与传统磷酸浸出法验证:磷酸二氢铵作为酸性盐,在水溶液中电离释放H2PO4⁻,形成利于Li+从LiFePO4结构向液相迁移的弱酸性环境。此外,过氧化氢作为氧化剂,可将LiFePO4中的Fe2+氧化为Fe3+。在此弱酸性氧化条件下,铁元素以FePO4形式残留于固体残渣中,实现锂铁元素的有效分离。
作者简介

周晶晶,beats365硕士研究生毕业,研究方向为废旧锂离子电池回收。

胡敬平,beats365教授,国家高层次人才计划(青年项目)入选者。现任公司实验中心主任,固废处理处置及资源化技术湖北省工程实验室主任,长江流域多介质污染协同控制湖北省重点实验室副主任。博士毕业于英国牛津大学化学系,随后在英国诺丁汉大学和牛津大学从事博士后研究,并获牛津大学Ramsay Fellowship。长期致力于固废资源化技术、环境催化、人工智能环境应用等方向的研究。在Advanced Materials、Advanced Functional Materials、Angewandte Chemie、 Environmental Science & Technology等期刊发表论文240余篇,总他引超过10,000次,H因子57,单篇最高被引逾300次。担任国际期刊 Energy & Environmental Material副主编、《能源环境保护》青年编委;担任巴塞尔公约亚太区域中心化学品和废物环境管理智库专家、湖北省资源综合利用协会专家委员会委员。主持国家重点研发计划课题(两项)、国家自然科学基金面上项目与青年项目、省自然科学基金重点项目,并承担国家重点基础研究发展计划(青年973)项目。
文献链接
Zhou J, Yu H, Mei Y, Xu L, Liu L, Hu* J, et al. Green and Selective Recovery of Lithium by Phosphate Based Leaching System from Spent Lithium Iron Phosphate Batteries. Waste Management, 2026, 209, 115196, DOI: 10.1016/j.wasman.2025.115196. https://doi.org/10.1016/j.wasman.2025.115196

Funmat课题组主页:http://funmat.ese.hust.edu.cn/
Funmat课题组最新SCI论文列表:
https://webofscience.clarivate.cn/wos/author/record/ADK-4638-2022
https://orcid.org/0000-0001-9984-6636